รายละเอียดสินค้า
Indigo Blue สำหรับเสื้อผ้า
ชื่อสินค้า : อินดิโก้บลู
1.ชื่อทางการค้า:
วอท บลู 1
สีย้อมคราม
ผงสีน้ำเงินคราม
2.ข้อมูลจำเพาะ:
Indigo Blue: coloring matler index C.1 รีเทิร์นบลู (73000)
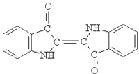
สูตรโครงสร้าง:
สูตรโมเลกุล: C16H10N2O2
รหัส HS: 32041510
น้ำหนักโมเลกุลสัมพัทธ์:262.27(ตามน้ำหนักโมเลกุลสากลปี 1983)
ธรรมชาติ: ลักษณะเป็นสีน้ำเงินเข้มแม้กระทั่งธัญพืช มันละลายในอนิลินร้อน แต่ไม่ละลายในน้ำ มันเปลี่ยนเป็นสีเหลืองสีเขียวเมื่อพบกับน้ำมันของกรดกำมะถัน มันเป็นสีเหลืองในของเหลวที่เป็นด่างรองกาไลต์และสีขาวในของเหลวที่เป็นกรด
3. ใช้:
ส่วนใหญ่จะใช้ในการย้อมเส้นใยฝ้าย เสื้อผ้า "คาวบอย" ป๊อปส่วนใหญ่ทำโดยเส้นด้ายตามยาวย้อมสีน้ำเงินครามและเส้นด้ายสีขาวผสมกัน มันสามารถใช้กับสารสีกำมะถัน นอกจากนี้เรายังสามารถได้สีขาวคราม, คราม bromized จากมัน ใช้ได้ดีในสีผสมอาหาร ชีวเคมี เป็นต้น
4.คู่มือทางเทคนิคหลัก Line:

ป้ายกำกับยอดนิยม: ครามสีฟ้าสำหรับเสื้อผ้า จีน ผู้ผลิต ผู้จำหน่าย โรงงาน ราคาถูก ส่วนลด ใบเสนอราคา ราคาต่ำ ตัวอย่างฟรี


